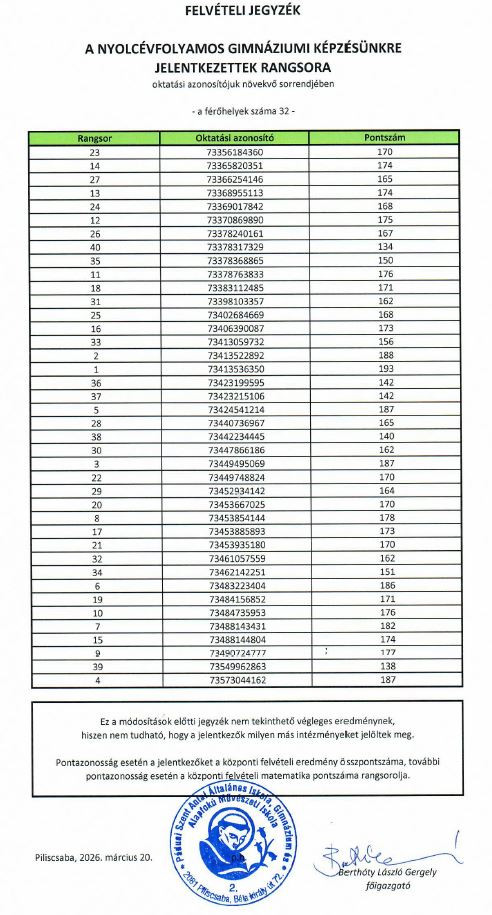
A Páduai Szent Antal Általános Iskola, Gimnázium és AMI a 2026. szeptember 1-jén induló gimnáziumi osztályába jelentkezők között, felvételi teljesítményük alapján, a Részletekben található ideiglenes rangsort állította fel.
A táblázatban a jelentkezők oktatási azonosítója azok növekvő sorrendjében található.
A cikk végén elérhető linken a rangsor letölthető.
Az induló 5.g osztály férőhelyeinek száma: 32.
Rangsorolás Oktatási azonosító Pontszám
| 23 | 73356184360 | 170 |
| 14 | 73365820351 | 174 |
| 27 | 73366254146 | 165 |
| 13 | 73368955113 | 174 |
| 24 | 73369017842 | 168 |
| 12 | 73370869890 | 175 |
| 26 | 73378240161 | 167 |
| 40 | 73378317329 | 134 |
| 35 | 73378368865 | 150 |
| 11 | 73378763833 | 176 |
| 18 | 73383112485 | 171 |
| 31 | 73398103357 | 162 |
| 25 | 73402684669 | 168 |
| 16 | 73406390087 | 173 |
| 33 | 73413059732 | 156 |
| 2 | 73413522892 | 188 |
| 1 | 73413536350 | 193 |
| 36 | 73423199595 | 142 |
| 37 | 73423215106 | 142 |
| 5 | 73424541214 | 187 |
| 28 | 73440736967 | 165 |
| 38 | 73442234445 | 140 |
| 30 | 73447866186 | 162 |
| 3 | 73449495069 | 187 |
| 22 | 73449748824 | 170 |
| 29 | 73452934142 | 164 |
| 20 | 73453667025 | 170 |
| 8 | 73453854144 | 178 |
| 17 | 73453885893 | 173 |
| 21 | 73453935180 | 170 |
| 32 | 73461057559 | 162 |
| 34 | 73462142251 | 151 |
| 6 | 73483223404 | 186 |
| 19 | 73484156852 | 171 |
| 10 | 73484735953 | 176 |
| 7 | 73488143431 | 182 |
| 15 | 73488144804 | 174 |
| 9 | 73490724777 | 177 |
| 39 | 73549962863 | 138 |
| 4 | 73573044162 | 187 |

Páduai Szent Antal Általános Iskola, Gimnázium és Alapfokú Művészeti Iskola
OM azonosító: 032450
Cím: 2081 Piliscsaba Béla király útja 72.
Tel: 26/375-322
Email: titkarsag@paduai.hu
Adószám:18669134-2-13
Bankszámlaszám: 11101404-18669134-36000001
Süti beállítások